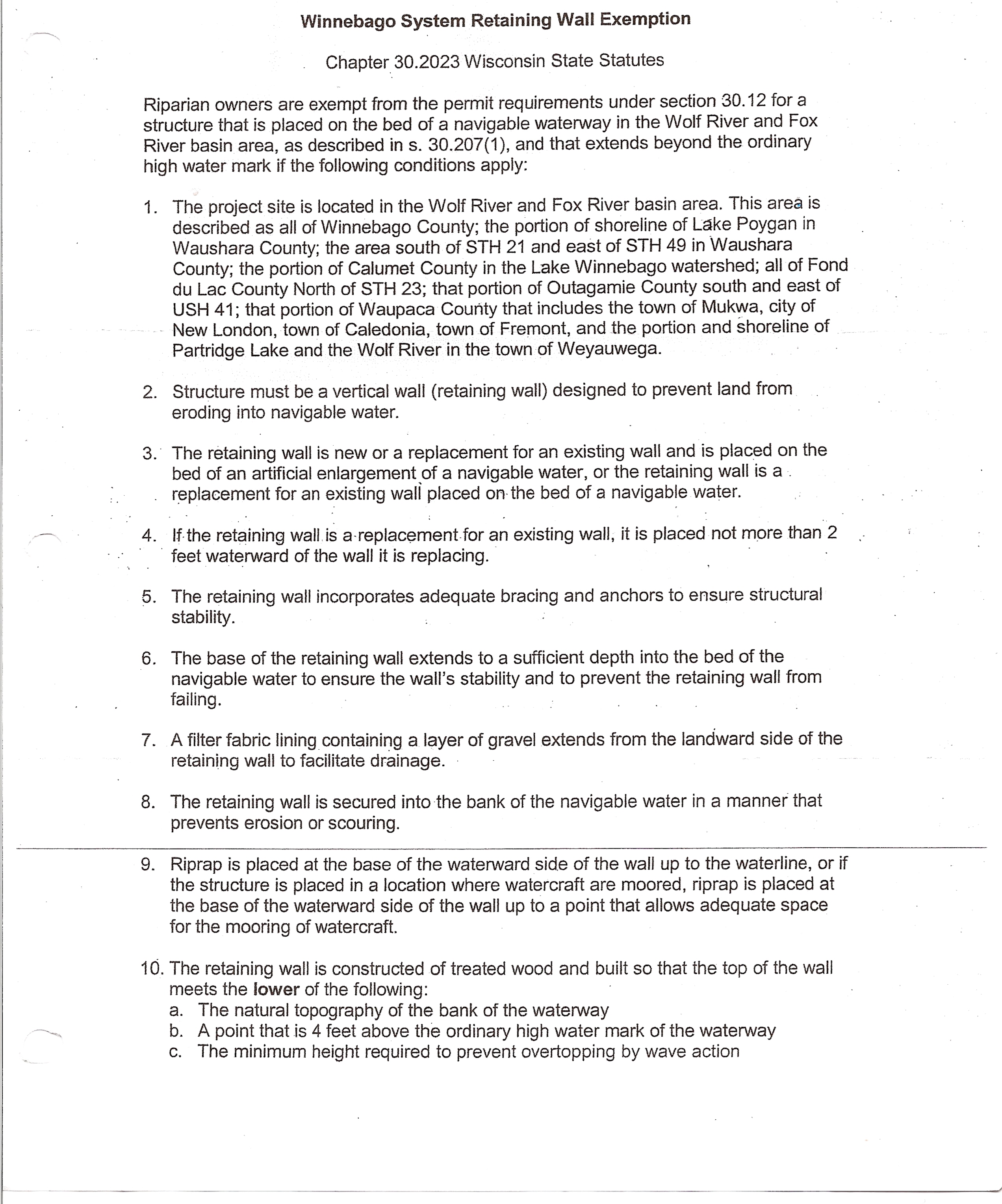
Seawalls
New seawalls are typically not allowed according to the current DNR regulations. However, an existing seawall can be repaired or replaced and there are some instances, usually on man-made channels where a new seawall would be allowed.    (See  Winnebago System Retaining Wall Exemption).  Click here to see